• Предмет: Физика
  • Автор: Аноним
  • Вопрос задан 11 лет назад

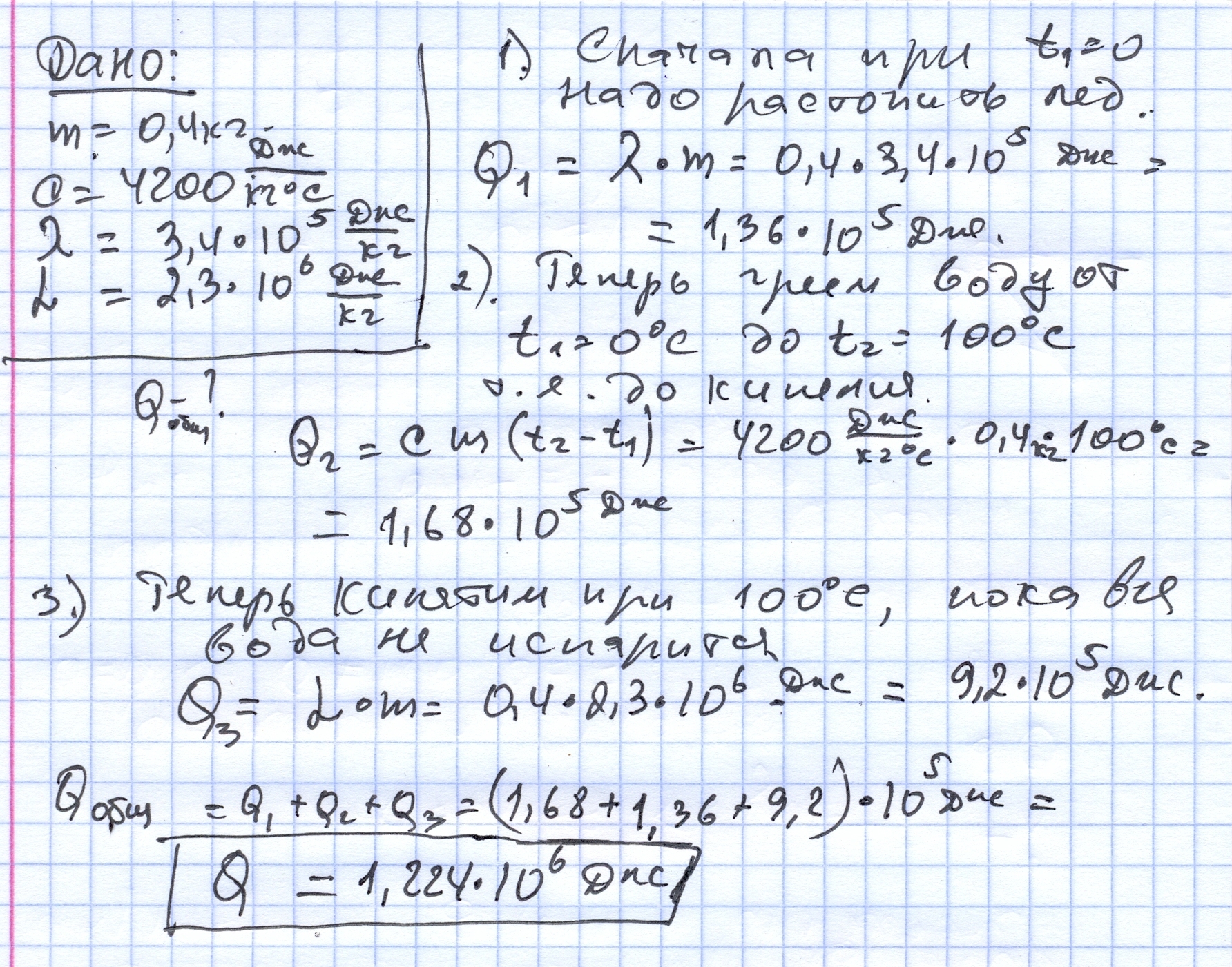
Какое количество теплоты потребуется,чтобы лед массой 400г при тепмературе 0*С превратить в пар при температуре 100*С?(удельная теплота плавления льда 3,4*10^5 Дж/кг,удельная теплоемкость воды 4200 Дж(кг*С),удельная теплота парообразования воды 2,3 *10 ^6 Дж/кг. )

Ответы

Ответ дал: ужнеужели
0
Какое количество теплоты потребуется,чтобы лед массой 400г при температуре 0*С превратить в пар при температуре 100*С?
Приложения:
Вас заинтересует