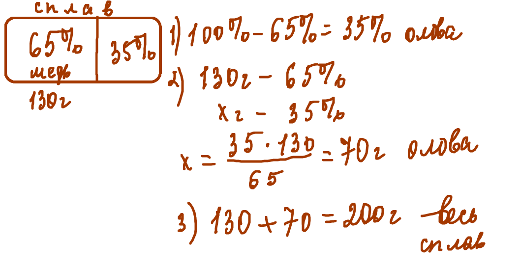
сплав меди и олова содержит 65% меди. Какова масса всего сплава и масса олова в нём, если меди в этом сплаве 130 г. ?
maxsimsasha:
С условием и решением, ответ
Ответы
Ответ дал:
2
решение в прикрепленном файлике
Приложения:

Вас заинтересует
2 года назад
2 года назад
2 года назад
2 года назад
7 лет назад
7 лет назад
9 лет назад