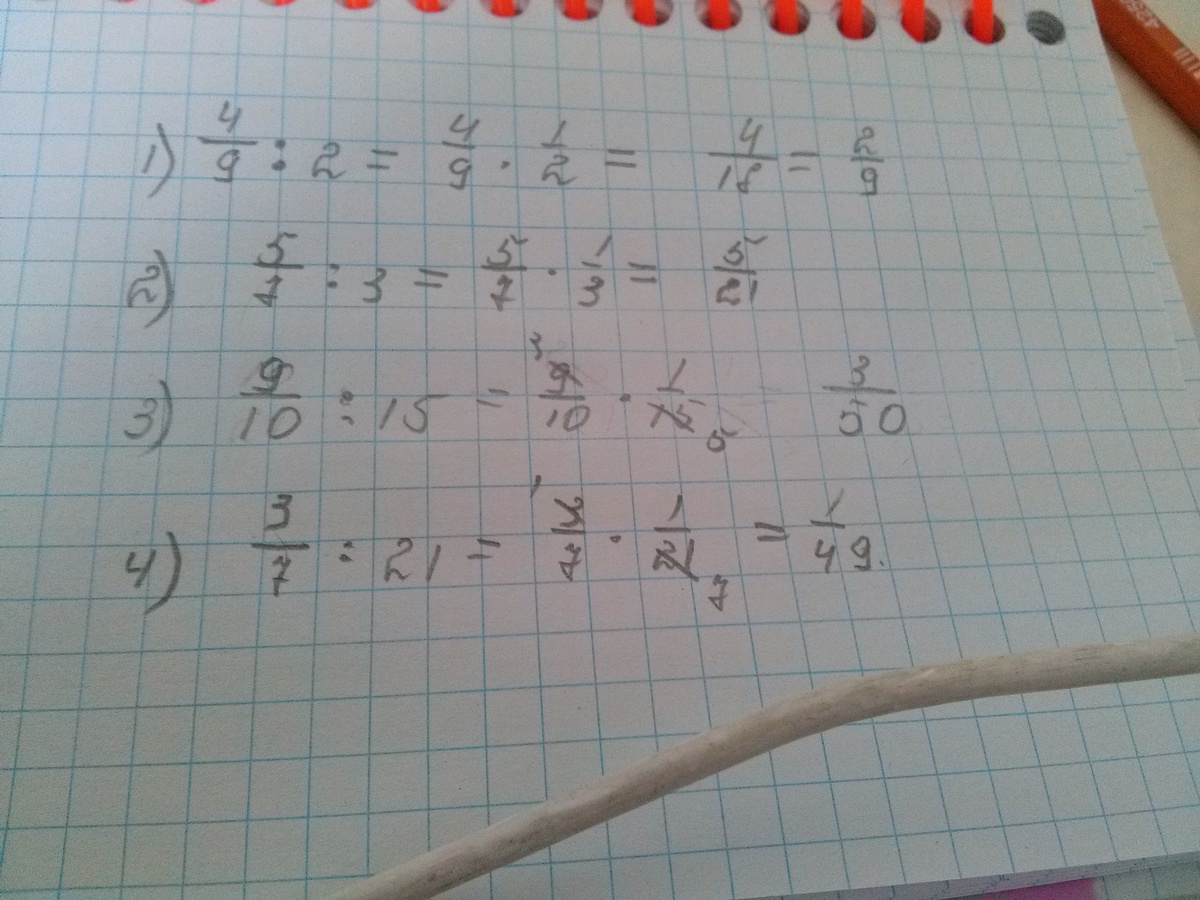
4/9:2=
5/7:3=
10/21:5=
9/10:15=
3/7:21=
Это дроби плиз решите.Заранее спасибо!
sgdsg:
А зачем 2 сылки?
А зачем 2 силки?
Спасибо вам обоим! :)
Ответы
Ответ дал:
3
4/9:2=4/9•1/2=2/9
5/7:3=5/7•1/3=5/21
10/21:5=10/21•1/5=2/21
9/10:15=9/10•1/15=3/50
3/7:21=3/7•1/21=1/49
5/7:3=5/7•1/3=5/21
10/21:5=10/21•1/5=2/21
9/10:15=9/10•1/15=3/50
3/7:21=3/7•1/21=1/49
Ответ дал:
2
Если что-то не понятно, готов объяснить!
С у.в. Собачка007
С у.в. Собачка007
Приложения:
Вас заинтересует
2 года назад
2 года назад
2 года назад
7 лет назад
7 лет назад
9 лет назад