• Предмет: Математика
  • Автор: greshniakova
  • Вопрос задан 3 года назад

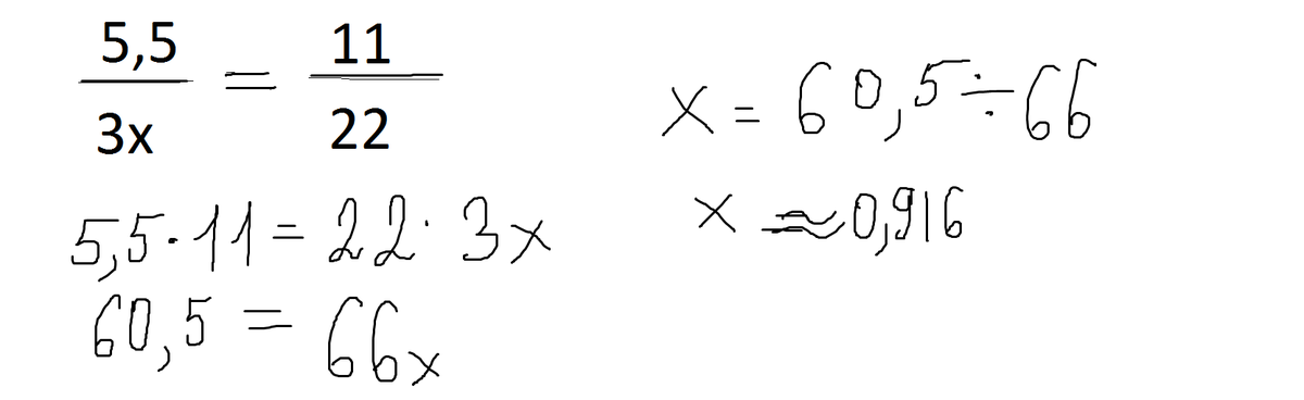
решите уравнения пожалуйста срочно 5,5:(3x)=11:21

Ответы

Ответ дал: lolililoloo23
2
Оцените мой ответ, если решение вас удовлетворило с:
Приложения:
Вас заинтересует