• Предмет: Алгебра
  • Автор: 246691
  • Вопрос задан 2 года назад

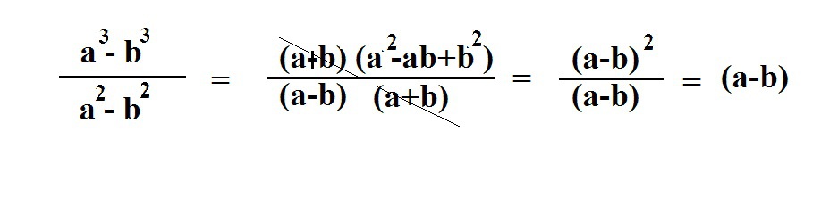
Сократите дробь
 \frac{a^{3} - b^{3}  }{a^{2} - b^{2}  }

Ответы

Ответ дал: larinadinara
0
Ответ в изображении..
Приложения:

246691: Почему a-b? Если формула a^3 - b^3 = (a-b)(a^2+ab+b^2)
larinadinara: извиняюсь, перепутала. знак тогда просто вынесите. ответ будет с минусом.
246691: Т.е ответ a+b?
larinadinara: да
larinadinara: могу изменить, скинуть заново
246691: Да нет, не надо
Вас заинтересует