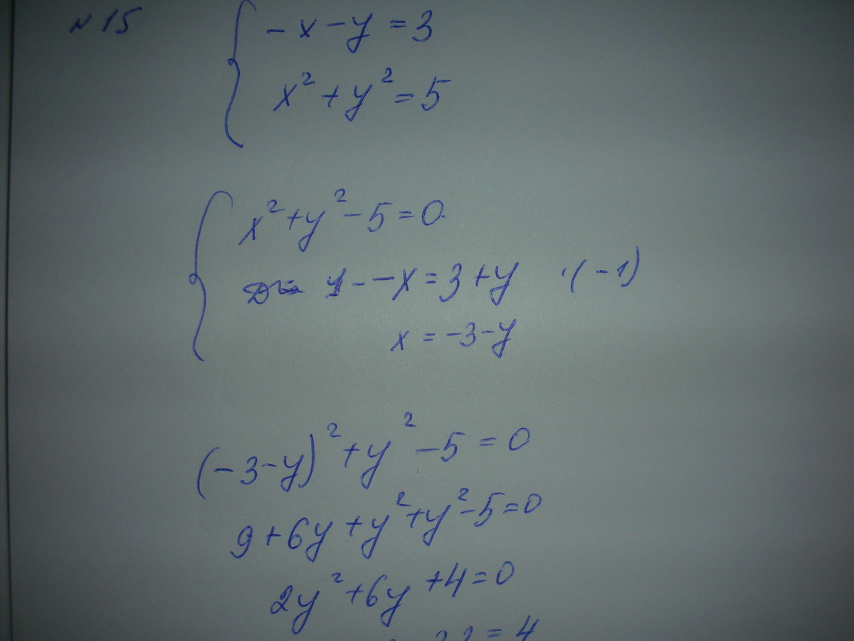
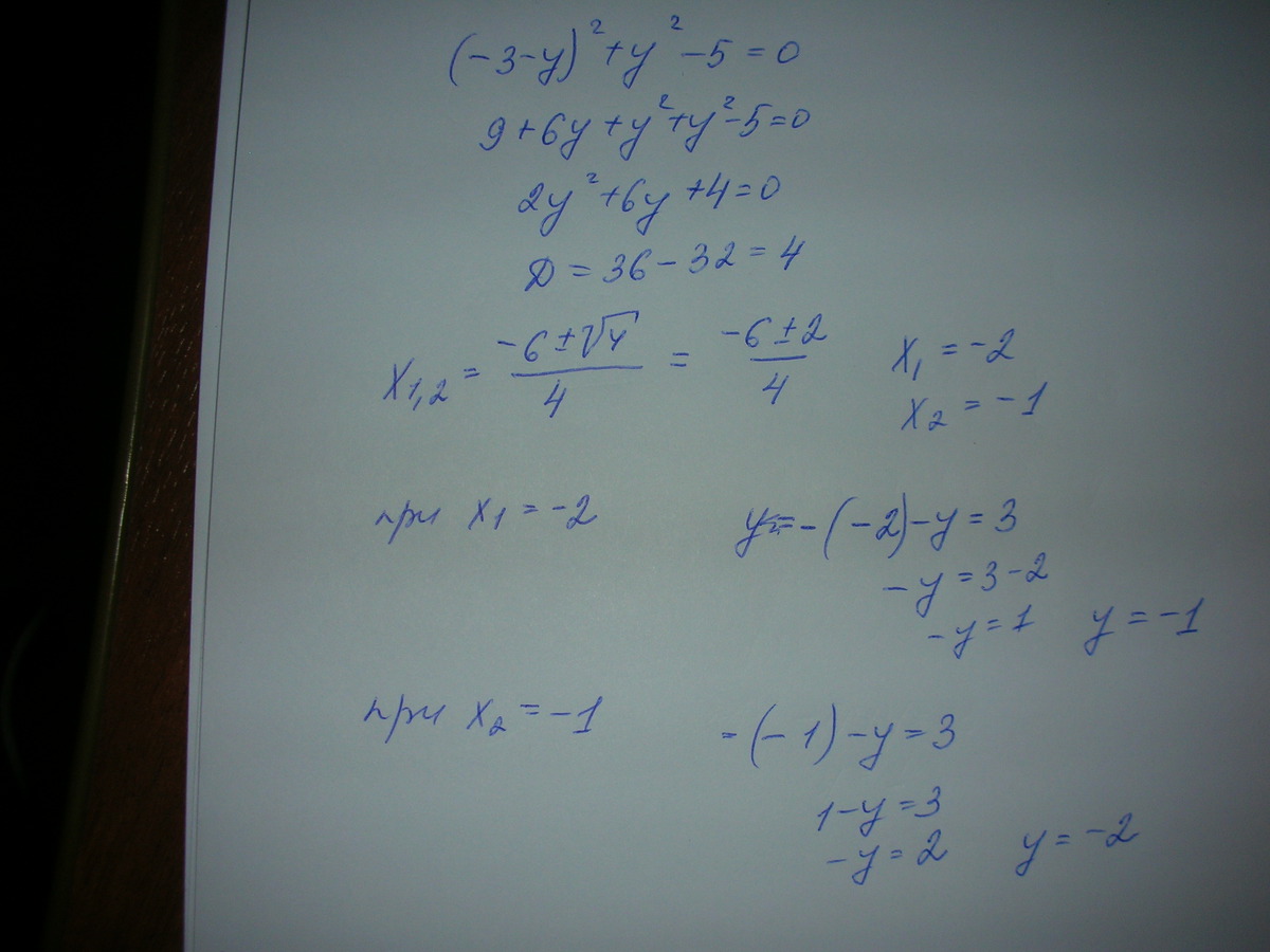
Помогите пожалуйста.14 и 15.
Приложения:
juliika2001:
каким способом? сложения или подстановки?
Без разницы.
Ответы
Ответ дал:
0
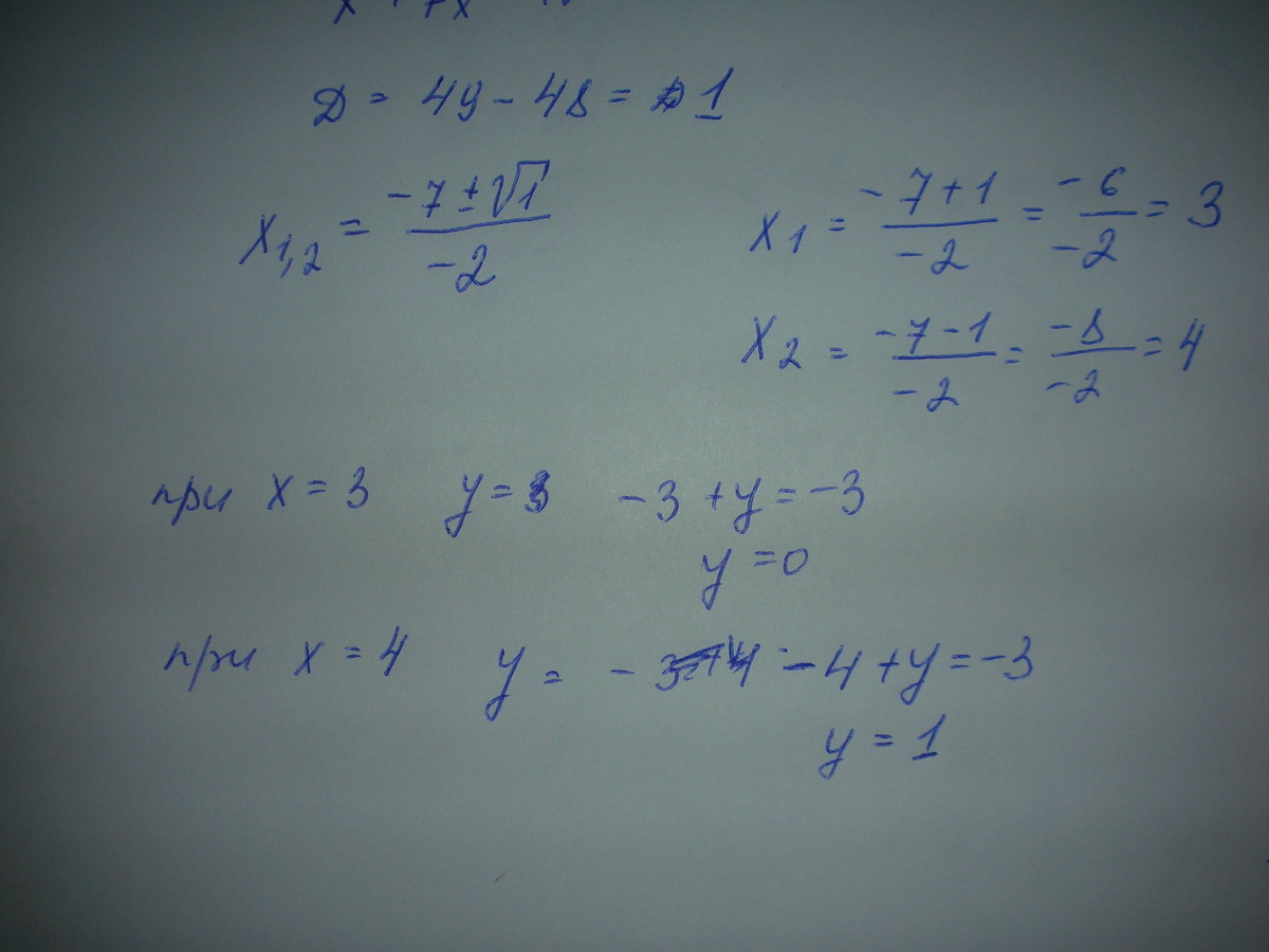
14) x=y+3
7y-(y+3)^2=-9
7y-y^2-6y=0
y^2-y=0
y*(y-1)=0
y=0 и y=1 отсюда x=3 и x=4
7y-(y+3)^2=-9
7y-y^2-6y=0
y^2-y=0
y*(y-1)=0
y=0 и y=1 отсюда x=3 и x=4
Ответ дал:
0
ответ смотри в приложении
Приложения:
Вас заинтересует
2 года назад
2 года назад
2 года назад
7 лет назад
7 лет назад
9 лет назад
9 лет назад