Ответы
Ответ дал:
0
Вроде так:
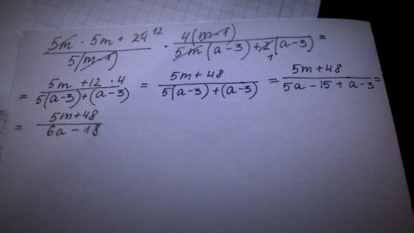
(5m*5m+24/5(m-1))*(4(m-1)/5m(a-3)+2(a-3))=5m+12*4/5*(a-3)+(a-3)=5m+48/5(a-3)+(a-3)=5m+48/5a-15+a-3=5m+48/6a-18
(5m*5m+24/5(m-1))*(4(m-1)/5m(a-3)+2(a-3))=5m+12*4/5*(a-3)+(a-3)=5m+48/5(a-3)+(a-3)=5m+48/5a-15+a-3=5m+48/6a-18
Приложения:
milandija:
ничего не понела. Ты не можешь это написать на бумаге и сфокать?
готово
Вас заинтересует
2 года назад
7 лет назад
7 лет назад
9 лет назад