• Предмет: Алгебра
  • Автор: lalalend1995
  • Вопрос задан 2 года назад

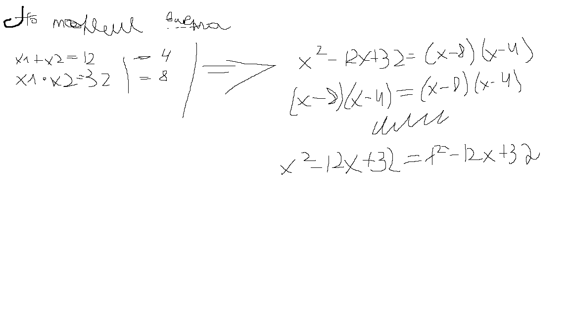
Докажите тождество х^2-12х+32=(х-8)(х-4)

Ответы

Ответ дал: didbrat6
0
Вообщем ты можешь 2 способами решить пример...
Приложения:
Вас заинтересует