• Предмет: Алгебра
  • Автор: 050497
  • Вопрос задан 11 лет назад

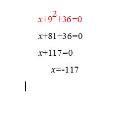
помогите решить квадратное уравнение (x+9)в квадрате+36=0

Ответы

Ответ дал: triolana
0

не понятно что там в квадрате,поэтому в двух вариантах

==============================================

Приложения:
Ответ дал: Beronika
0

(x+9)^2+36=0

x^2+18x+81+36=0

x^2+18x=-81-36

x(x+18)=-117
x=-117 или  х+18=-117
                       х= -117-18
                       х=-135 

Приложения:
Вас заинтересует