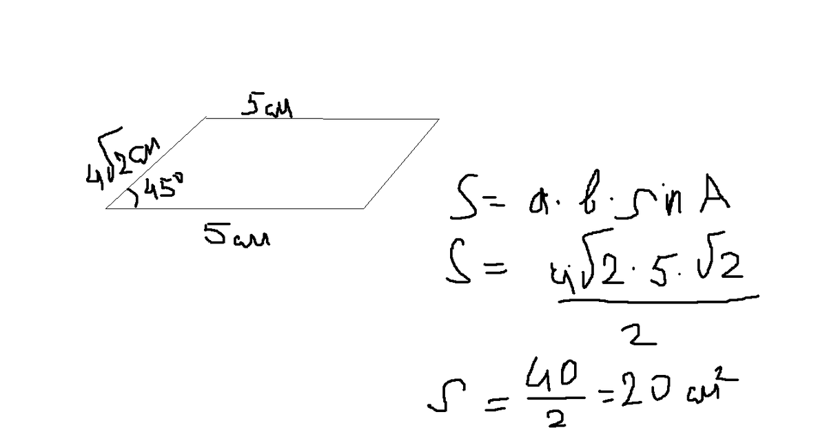
найти площадь параллелограмма, если одна сторона равна 5 другая сторона равна 4 корня из двух, угол А равен 45 градусов. Дан параллелограм АВСD
Ответы
Ответ дал:
0
вот..................................
Приложения:

Вас заинтересует
2 года назад
8 лет назад
8 лет назад
10 лет назад
10 лет назад
10 лет назад