С 40 по 42 (б)
Сборник заданий для проведения письменного экзамена по математике за курс 9 - летней общеобразовательной школы.
Приложения:


Ответы
Ответ дал:
4
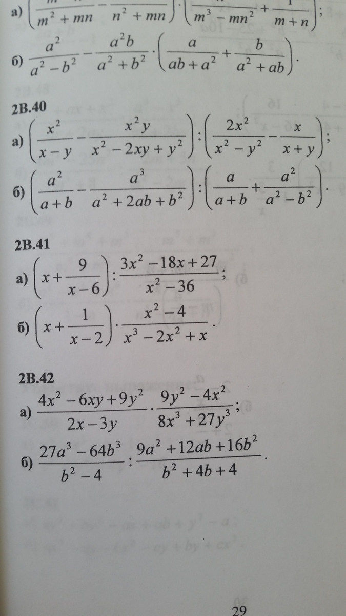
40 a) =x²/(x-y) *(1-y/(x-y)) : (x/(x+y))*(2x/(x-y) - 1) =
x²/(x-y) *(x-2y)/(x-y)) : (x/(x+y))*(x+y)/(x-y) =x²/(x-y) *(x-2y)/(x-y)) : (x/(x-y) =
x²/(x-y)²*(x-2y) * (x-y)/x = x(x-2y)/(x-y).
б) =(a²(a+b) -a³)/(a+b)² : (a(a-b)+a²)/(a-b)(a²+b)=
a²b/(a+b)² * (a-b)(a+b)/a(2a -b) = ab(a-b)/(a+b)(2a -b).
41)
a) =(x² -6x+9)/(x-6) : 3(x² -6x+9)/(x-6)(x+6) =
(x² -6x+9)/(x-6) * (x-6)(x+6)/3(x² -6x+9)= (x+6)/3.
или
=(x² -6x+9)/(x-6) : 3(x² -6x+9)/(x-6)(x+6) =
(x -3)²/(x-6) * (x-6)(x+6)/3(x -3)²= (x+6)/3.
б) =(x² -2x+1)/(x-2) *(x-2)(x+2)/(x(x² -2x+1) =(x+2)/x .
или
=(x-1)²/(x-2)*(x-2)(x+2)/(x(x -1)² =(x+2)/x или [ 1 +2/x ].
42)
a) =(4x² - 6xy + 9y²)/(2x-3y)*(3y -2x)(3y+2x)/(4x+6xy+9y²) = -1.
б) =(3a-4b)(9a² +12ab+16b²)/(b-2)(b+2)*(b+2)²/(9a² +12ab+16b²) =
(3a - 4b)(b+2)/(b-2).
x²/(x-y) *(x-2y)/(x-y)) : (x/(x+y))*(x+y)/(x-y) =x²/(x-y) *(x-2y)/(x-y)) : (x/(x-y) =
x²/(x-y)²*(x-2y) * (x-y)/x = x(x-2y)/(x-y).
б) =(a²(a+b) -a³)/(a+b)² : (a(a-b)+a²)/(a-b)(a²+b)=
a²b/(a+b)² * (a-b)(a+b)/a(2a -b) = ab(a-b)/(a+b)(2a -b).
41)
a) =(x² -6x+9)/(x-6) : 3(x² -6x+9)/(x-6)(x+6) =
(x² -6x+9)/(x-6) * (x-6)(x+6)/3(x² -6x+9)= (x+6)/3.
или
=(x² -6x+9)/(x-6) : 3(x² -6x+9)/(x-6)(x+6) =
(x -3)²/(x-6) * (x-6)(x+6)/3(x -3)²= (x+6)/3.
б) =(x² -2x+1)/(x-2) *(x-2)(x+2)/(x(x² -2x+1) =(x+2)/x .
или
=(x-1)²/(x-2)*(x-2)(x+2)/(x(x -1)² =(x+2)/x или [ 1 +2/x ].
42)
a) =(4x² - 6xy + 9y²)/(2x-3y)*(3y -2x)(3y+2x)/(4x+6xy+9y²) = -1.
б) =(3a-4b)(9a² +12ab+16b²)/(b-2)(b+2)*(b+2)²/(9a² +12ab+16b²) =
(3a - 4b)(b+2)/(b-2).
Azaonna:
спасибо
Вас заинтересует
2 года назад
2 года назад
7 лет назад
9 лет назад