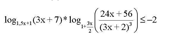
Прошу решить
...............................................................
Приложения:

Ответы
Ответ дал:
1
Вас заинтересует
2 года назад
2 года назад
7 лет назад
9 лет назад
может так ?