• Предмет: Математика
  • Автор: Аноним
  • Вопрос задан 11 лет назад

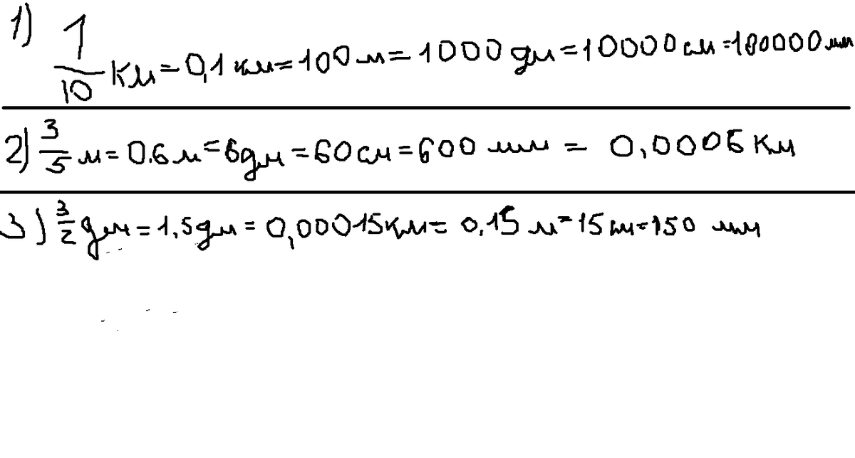
Выразите в других единицах измерения: №1. 1/10 км. №2. 3/5 м №3. 3/2 дм

Ответы

Ответ дал: Boris77777
0

вот смотри........................

Приложения:
Вас заинтересует