• Предмет: Алгебра
  • Автор: nemogue
  • Вопрос задан 11 лет назад

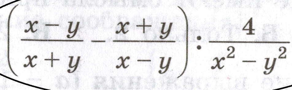
Упростите уравнение (хотя бы в скобках)

Приложения:

Ответы

Ответ дал: missfox
0

вот решение, если что то не понятно пиши

Приложения:
Вас заинтересует