• Предмет: Алгебра
  • Автор: Аноним
  • Вопрос задан 2 года назад

Вычислите:cos300 градусов

Ответы

Ответ дал: Ekaterina1819
15
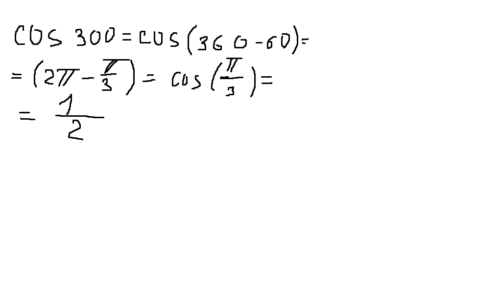
Получится вот так :)
Приложения:
Ответ дал: 89613269492
12
COS 300=COS ( 180+120 )=COS 120=COS (90+30)= - SIN 30=-1/2
Вас заинтересует