Ответы
Ответ дал:
0
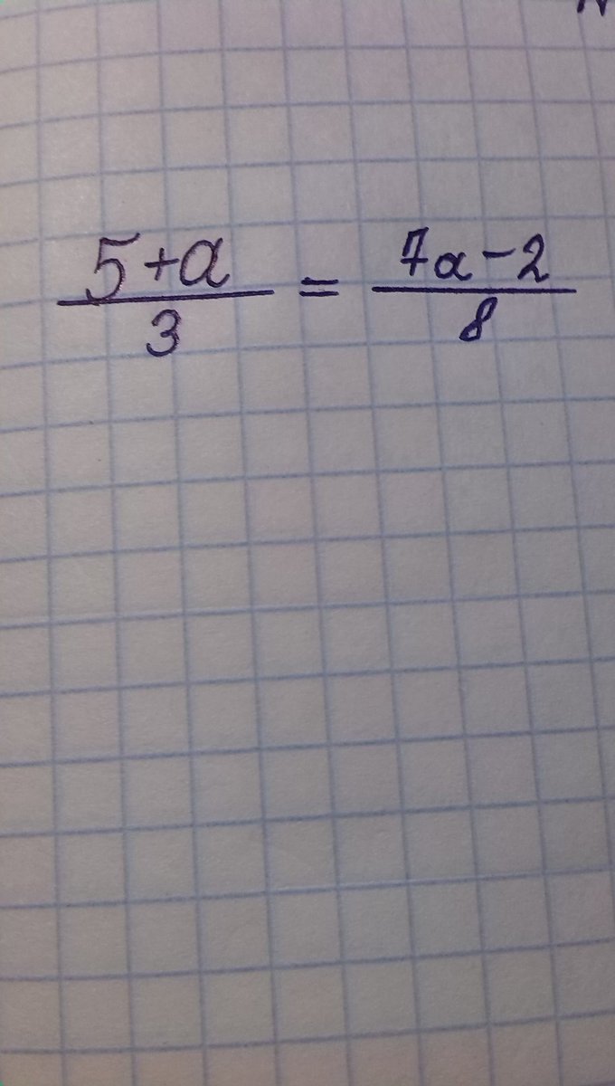
5+a/3=7a-2/8 |*24
8(5+a)=3(7a-2)
40+8a=21a-6
8a-21a=-6-40
-13a=-46
a=46/13
a=3 7/13 (три целых семь тринадцатых)
8(5+a)=3(7a-2)
40+8a=21a-6
8a-21a=-6-40
-13a=-46
a=46/13
a=3 7/13 (три целых семь тринадцатых)
Вас заинтересует
2 года назад
2 года назад
2 года назад
2 года назад
7 лет назад
9 лет назад