• Предмет: Алгебра
  • Автор: natagoradova
  • Вопрос задан 3 года назад

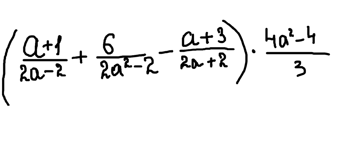
(11 БАЛЛОВ) ПОМОГИТЕ!!! Упростите данное выражение:

Приложения:

Ответы

Ответ дал: Nina1952
1
Решение здесь!!!!!!!!!!!!
Приложения:
Вас заинтересует