ПОМОГИТЕ ПОЖАЛУЙСТА, Найти корни уравнения cos(4x+pi/4)=-(корень из 2)/2, принадлежащие промежутку от -пи(включая), до пи (не включая).
Ответы
Ответ дал:
0
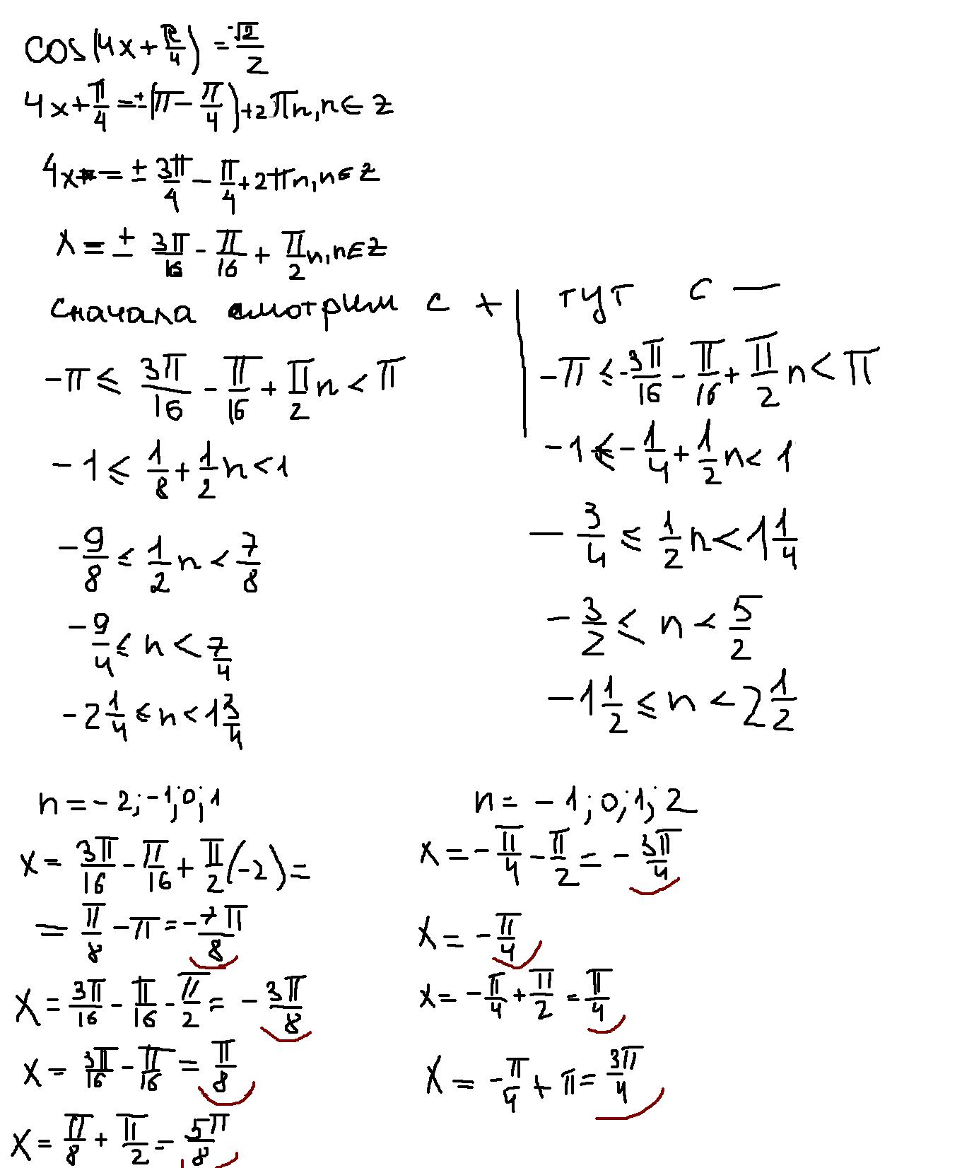
решение во вложении. красным помечены ответы конечные
Приложения:
Вас заинтересует
3 года назад
3 года назад
8 лет назад
8 лет назад
11 лет назад
11 лет назад
11 лет назад