Интересное задание. Есть идеи решения?
Приложения:
Kulakca:
сейчас что-нибудь посмотрим
я, кажется, решил
так, довёл решение до ума, сейчас выложу решение
решение уравнения служат все числа вида 0; +-3;+-6;+-9(кратные 3)
после этого нетрудно посчитать сумму тех из них, которые удовлетворяют указанному отрезку
Ответы
Ответ дал:
1
Вот прикладываю основную часть решения. Прокомментирую его.
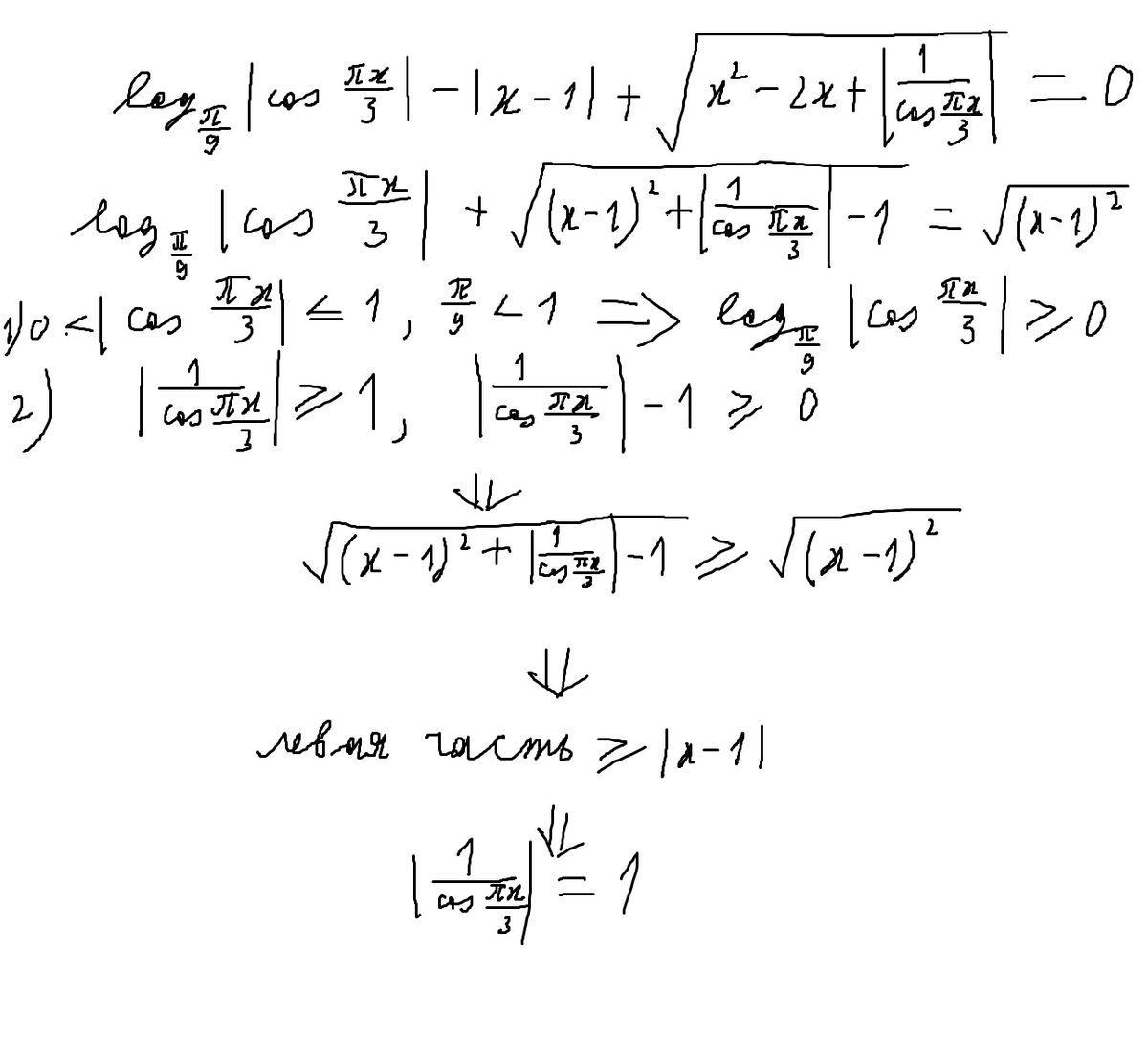
Для начала я перенесу модуль в правую часть. Затем выделяю полный квадрат под квадратным корнем. Сделаем это здесь.
x^2 - 2x = (x^2 - 2 * x + 1) - 1 = (x-1)^2 - 1 - это готовый результат, его я подставляю под корень.
Представим затем |x-1| как sqrt(x-1)^2. Мы помним, что |a| = sqrt(a^2), так что, я имею права это сделать.
Теперь начинается самое интересное. Произведём некоторые оценки левой части, и посмотрим. куда дело придёт.
У меня всё есть на рисунке. Прежде всего, замечаем, что 1<=cos пиx/3<=1
Далее, 0<= |cos пиx/3| <= 1
В силу того, что модуль стоит ещё и под знаком логарифма
0 < |cos пиx/3| <= 1
Кроме того, замечаем, что у логарифма основание пи/9, а оно меньше 1. Значит, функция log |cosпиx/3| убывает, то есть
log(пи/9) |cos пиx/3| >= log(пи/9) 1 = 0
Итак, первое слагаемое левой части оказалось неотрицательным.
Разберёмся со вторым слагаемым.
По только что сказанному, 0 < |cos пиx/3| <= 1. Тогда
|1/cos пиx/3 | >= 1, а
|1/cos пиx/3 | - 1 >= 0. Что это нам даёт? Смотрите. Отсюда следует вот что:
sqrt((x-1)^2 + |1/cos пиx/3 | - 1) >= sqrt(x-1)^2 - вполне логично, если учесть, что подкоренное выражение в левой части не меньше подкоренного выражения в правой.
Учитывая, что первое слагаемое неотрицательное, получаем, что
log(пи/9) |cos пиx/3| + sqrt((x-1)^2 + |1/cos пиx/3 | - 1) >= |x-1|
Нам же нужно равенство. Когда оно возможно? Давайте посмотрим. Если мы придадим подмодульному выражению значение 1, то логарифм станет равен 0(понятно, почему), а второе слагаемое превратится в |x-1|. Значит, равенство возможно лишь тогда, когда
cos пиx/3 = 1 или же cos пиx/3 = -1(тогда модуль выражения будет 1).
Во всех остальных случаях первое слагаемое будет положительным, второе будет больше правой части. Понятно, что левая часть заведомо будет больше правой.
Решаем уравнение:
cos пиx/3 = 1
пиx/3 = 2пиn
пиx = 6пиn
x = 6n, где n -целое число
Решаем уравнение
cos пиx/3 = -1
пиx/3 = пиn
пиx = 3пиn
x = 3n
Объединяя оба решения, получаем, что x = 3n, то есть, x = 0; +-3;+-6 и так далее.
Уравнение имеет бесконечно много корней.
Всё, уравнение мы решили. Теперь найдём корни на указанном отрезке и найдём их сумму.
В принципе, можно простым перебором отыскать все такие корни. Очевидно, что это
-21; -18; -15; -12;-9;-6;-3;0;3;6;9;12;15;18;21;24;27
Сложим их. Можно складывать в столбик - желающие могут это проделать.
Но я сделаю иначе. Я вспомню 9 класс, тема - арифметическая прогрессия. Причём тут ещё и прогрессия? А понятно, при чём. Каждый член, начиная со второго, равен предыдущему, сложенному с числом 3. Просуммируем такую прогрессию по известным формулам.
a1 = -21; d = 3
S(17) = (-21 + 27) * 17 / 2 = (6 * 17)/2 = 3 * 17 = 51 - это сумма.
Видите, насколько более быстро я справился с задачей суммирования!
Для начала я перенесу модуль в правую часть. Затем выделяю полный квадрат под квадратным корнем. Сделаем это здесь.
x^2 - 2x = (x^2 - 2 * x + 1) - 1 = (x-1)^2 - 1 - это готовый результат, его я подставляю под корень.
Представим затем |x-1| как sqrt(x-1)^2. Мы помним, что |a| = sqrt(a^2), так что, я имею права это сделать.
Теперь начинается самое интересное. Произведём некоторые оценки левой части, и посмотрим. куда дело придёт.
У меня всё есть на рисунке. Прежде всего, замечаем, что 1<=cos пиx/3<=1
Далее, 0<= |cos пиx/3| <= 1
В силу того, что модуль стоит ещё и под знаком логарифма
0 < |cos пиx/3| <= 1
Кроме того, замечаем, что у логарифма основание пи/9, а оно меньше 1. Значит, функция log |cosпиx/3| убывает, то есть
log(пи/9) |cos пиx/3| >= log(пи/9) 1 = 0
Итак, первое слагаемое левой части оказалось неотрицательным.
Разберёмся со вторым слагаемым.
По только что сказанному, 0 < |cos пиx/3| <= 1. Тогда
|1/cos пиx/3 | >= 1, а
|1/cos пиx/3 | - 1 >= 0. Что это нам даёт? Смотрите. Отсюда следует вот что:
sqrt((x-1)^2 + |1/cos пиx/3 | - 1) >= sqrt(x-1)^2 - вполне логично, если учесть, что подкоренное выражение в левой части не меньше подкоренного выражения в правой.
Учитывая, что первое слагаемое неотрицательное, получаем, что
log(пи/9) |cos пиx/3| + sqrt((x-1)^2 + |1/cos пиx/3 | - 1) >= |x-1|
Нам же нужно равенство. Когда оно возможно? Давайте посмотрим. Если мы придадим подмодульному выражению значение 1, то логарифм станет равен 0(понятно, почему), а второе слагаемое превратится в |x-1|. Значит, равенство возможно лишь тогда, когда
cos пиx/3 = 1 или же cos пиx/3 = -1(тогда модуль выражения будет 1).
Во всех остальных случаях первое слагаемое будет положительным, второе будет больше правой части. Понятно, что левая часть заведомо будет больше правой.
Решаем уравнение:
cos пиx/3 = 1
пиx/3 = 2пиn
пиx = 6пиn
x = 6n, где n -целое число
Решаем уравнение
cos пиx/3 = -1
пиx/3 = пиn
пиx = 3пиn
x = 3n
Объединяя оба решения, получаем, что x = 3n, то есть, x = 0; +-3;+-6 и так далее.
Уравнение имеет бесконечно много корней.
Всё, уравнение мы решили. Теперь найдём корни на указанном отрезке и найдём их сумму.
В принципе, можно простым перебором отыскать все такие корни. Очевидно, что это
-21; -18; -15; -12;-9;-6;-3;0;3;6;9;12;15;18;21;24;27
Сложим их. Можно складывать в столбик - желающие могут это проделать.
Но я сделаю иначе. Я вспомню 9 класс, тема - арифметическая прогрессия. Причём тут ещё и прогрессия? А понятно, при чём. Каждый член, начиная со второго, равен предыдущему, сложенному с числом 3. Просуммируем такую прогрессию по известным формулам.
a1 = -21; d = 3
S(17) = (-21 + 27) * 17 / 2 = (6 * 17)/2 = 3 * 17 = 51 - это сумма.
Видите, насколько более быстро я справился с задачей суммирования!
Приложения:
Это одна из самых сложных задач, которую мне приходилось решать на этом сайте ;)
я из Беларуси, и задания подобного плана предлагаются для поступления в ВУЗы :)
Да, есть такое дело ;)
подобные задачи решаются наблюдением с последующим доказательством увиденного. Ибо никакие преобразования нам здесь не помогут. Можно бесконечно долго что-то пытаться делать с логарифмом, возводить в квадрат обе части уравнения - успеха это не принесёт
Если в уравнении вместе засунуты принципиально различные виды функций, то такие уравнения преобразованиями не решить в принципе
Так что это очень хорошая тема вступительных испытаний по математике в различные вузы.
Вас заинтересует
2 года назад
2 года назад
7 лет назад
7 лет назад