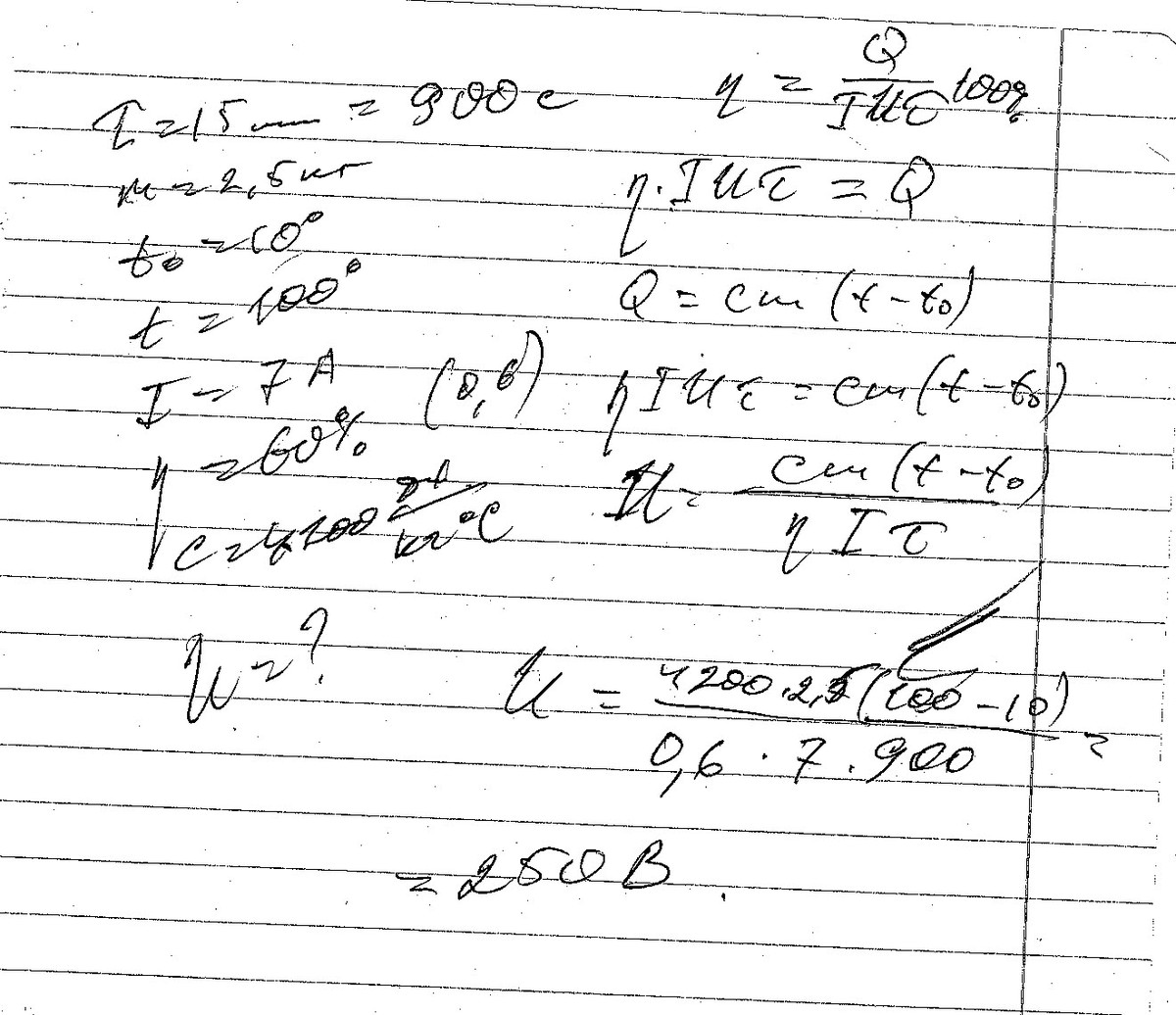
Электрический нагреватель за 15 мин доводит до кипения 2,5 кг воды, начальная температура которой 10•С. Сила тока в нагревателе 7 А, КПД нагревателя равен 60 процентов. Чему равно напряжение в электрической сети ? Удельная теплоемкость воды 4200 Дж/кг*•С
Ответы
Ответ дал:
1
Смотри файлик..........................
Приложения:

Вас заинтересует
2 года назад
2 года назад
2 года назад
2 года назад
7 лет назад
7 лет назад
9 лет назад