• Предмет: Алгебра
  • Автор: artem32322
  • Вопрос задан 11 лет назад

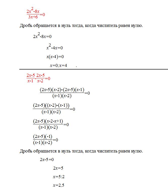
1)2х во второй степени - 8х

____________________  =0

              3х + 6

 

 2)    2х - 5               2х - 5 

 

    ________   -     _____  = 0

 

          х - 1                 х - 2

 

   

Ответы

Ответ дал: triolana
0

============================================================

Приложения:
Вас заинтересует