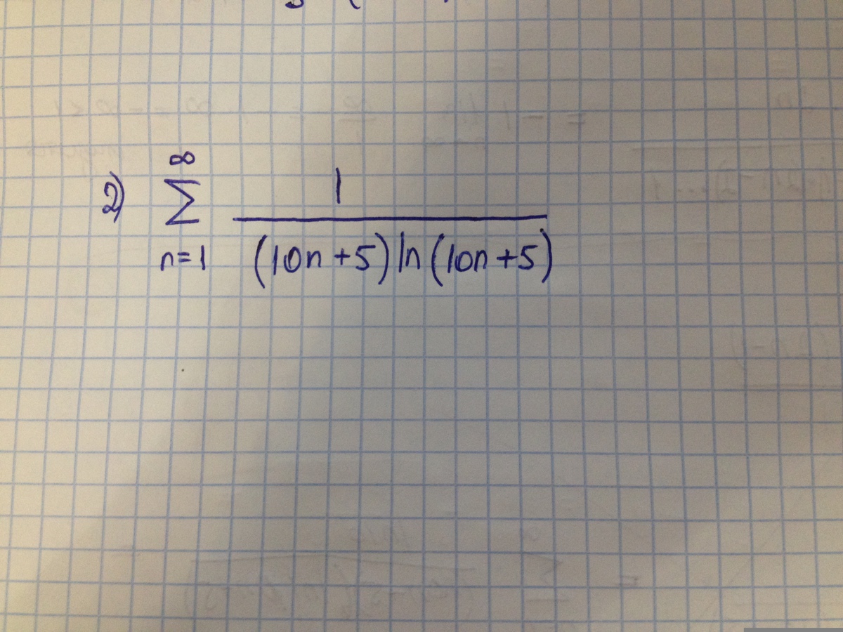
Помогите решить пример интегрального признака сходимости Коши. Программа ВУЗ
Приложения:

xmark00:
интегрируешь выражение, находишь предел n->бесконечность. если конечное число, то сходится
Ответы
Ответ дал:
1
S dn/(10n+5)ln(10n+5)=1/10 S dln(10n+5)/(ln(10n+5)=1/10 ln | ln(10n+5) |
lim 1/10 ln | ln (10n+5) | = ∞
n⇒∞
получается, что расходится
lim 1/10 ln | ln (10n+5) | = ∞
n⇒∞
получается, что расходится
Вас заинтересует
2 года назад
2 года назад
7 лет назад
9 лет назад