Ответы
Ответ дал:
0
см. файл
\\\\\\\\\\\\\\\\\\\\
\\\\\\\\\\\\\\\\\\\\
Приложения:
Ответ дал:
0
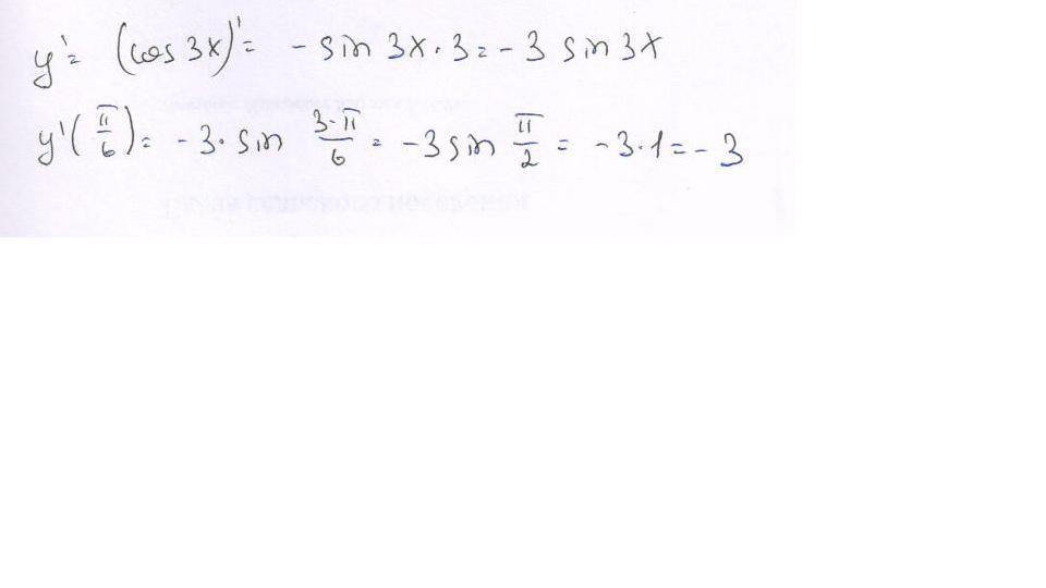
f(x)=cos3x
f'(x)=(cos3x)'=-3sin3x
подставим знаение х=π/6
sin(π/2)=1
-3*sin(π/2)=-3*1=-3
f'(x)=(cos3x)'=-3sin3x
подставим знаение х=π/6
sin(π/2)=1
-3*sin(π/2)=-3*1=-3
Вас заинтересует
2 года назад
2 года назад
2 года назад
2 года назад
7 лет назад
9 лет назад