• Предмет: Алгебра
  • Автор: vanillaharry1
  • Вопрос задан 3 года назад

ПОМОГИТЕ ПОЖАЛУЙСТА!
Решить уравнения:

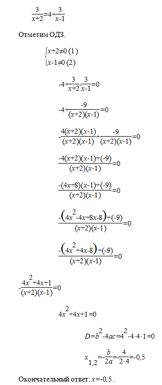
Приложения:

Ответы

Ответ дал: Аноним
1
*************************************
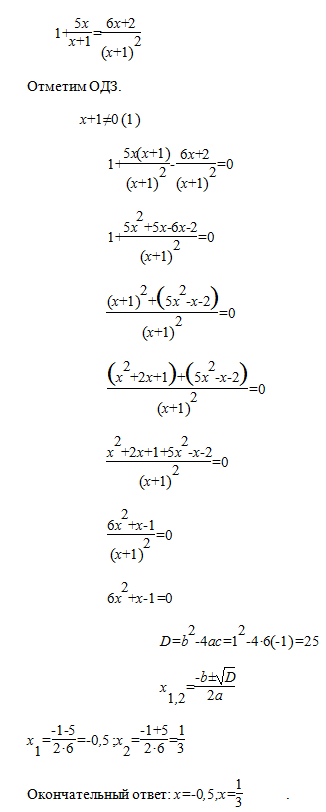
Приложения:
Вас заинтересует