• Предмет: Математика
  • Автор: никитка007
  • Вопрос задан 11 лет назад

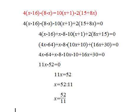
решить уравнение 4(x-16)-(8-х)=10(х+1)-2(15+8х)

Ответы

Ответ дал: triolana
0

=================================================

Приложения:
Вас заинтересует