• Предмет: Алгебра
  • Автор: Аноним
  • Вопрос задан 3 года назад

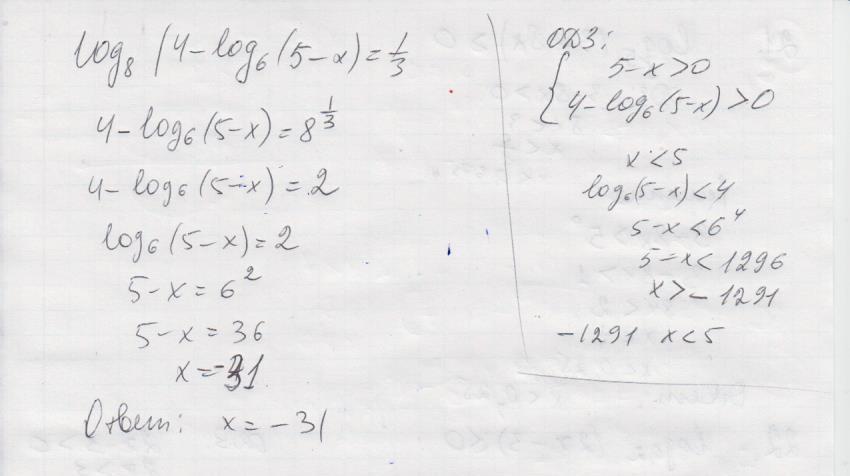
решите уравнение log8(4-log6(5-x))=1/3

Ответы

Ответ дал: mymurkin
1
 4-log_{6}(5-x)= 8^{1/3}
 log_{6}(5-x)=4-2
5-x=6²
x=-31

belcatya: минус забыл x=5-36= - 31
belcatya: и ОДЗ нет
mymurkin: достаточно просто проверки, подставив корень
Ответ дал: belcatya
1
решение в приложении:
Приложения:
Вас заинтересует