• Предмет: Алгебра
  • Автор: vipsabina2001
  • Вопрос задан 3 года назад

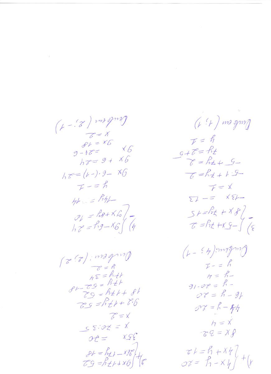
1)  \left \{ {{4x-y=20} \atop {4x+y=12}} \right.
2)  \left \{ {{9x+17y=52} \atop {26x-17y=18}} \right.
3)  \left \{ {{-5x+7y=2} \atop {8x+7y=15}} \right.
4)  \left \{ {{9x-6y=24} \atop {9x+8y=10}} \right.

Ответы

Ответ дал: Stepan3513
3
учись решать системы сложением и вычитанием
Приложения:

vipsabina2001: Спасибо, учту, но ты тоже когда отправляешь отправляй не к верх ногами а по человечески ;)
Ответ дал: Аноним
2
не учись я помогу) 1) 4х-у=20                                                                                                            16-у=20                                                                                                               -у=20-16
                                  -у=4                                                                                                                  у=1                                                                                                               ответ(4;-1)                                                                                                         2)9х+17у=52                                                                                                        26х-17у=18                                                                                                        9*2+17у=52
                                   18+17у=56
                                    17у=52-18                                      
                                     17у=34                                                 
                                      у=2                                                                  
                                      ответ(2;2)                                    
                                    3) -5х+7у=2                           
                                         8х+7у=15                         
                                         -13х=-13                                
                                           х=1                                           
                                          -5*1+7у=2                                           
                                           -5+7у=2                                           
                                            7у=2+5                                         
                                            7у=7                                                                                                                  у=1  ответ(1:1)                           
                                             4)9х-6у=24                                        
                                                9х+8у=10                                               
                                                -14у=14                                      
                                                  у=-1                                
                                                  9х-6*(-1)=24                              
                                                  9х+6=24                                  
                                                  9х=18                                                                                                           х=2                                                                                                                ответ (2;-1)                

                                        

vipsabina2001: Спасибо дорогой ;)
Аноним: люблю тебя сестрёнка)
Вас заинтересует