Помогите с решением . 2 раза перерешивал , получались огромные цифры , забрасывал решение и перерешивал снова.
Приложения:

Ответы
Ответ дал:
0
Переведём в десятичные дроби:
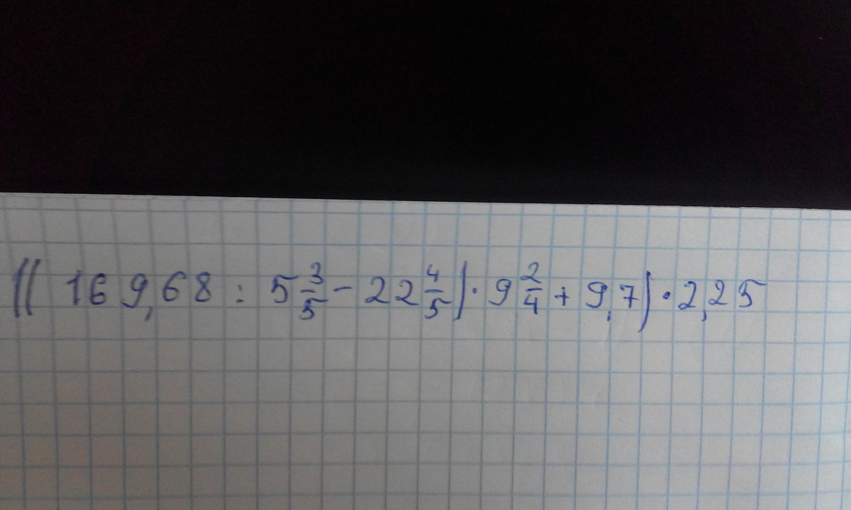
((169,68:5,6-22,8)*9,5+9,7)*2,25
1) 169,68:5,6=30,3
2) 30,3-22,8=7,5
3) 7,5*9,5=71,25
4) 71,25+9,7=80,95
5) 80,95*2,25=182,1375
(Если решать по дробям)
1) 169,68 : 5 целых 3/5 = 30 целых 3/10.
2) 30 целых 3/10 - 22 целых 4/5 = 7 целых 1/2.
3) 7 целых 1/2 * 9 целых 1/2 = 71 целая 1/4.
4) 71 целая 1/4 + 9,7 = 80 целых 19/20.
5) 80 целых 19/20 * 2,25 = 182 целые 11/80
((169,68:5,6-22,8)*9,5+9,7)*2,25
1) 169,68:5,6=30,3
2) 30,3-22,8=7,5
3) 7,5*9,5=71,25
4) 71,25+9,7=80,95
5) 80,95*2,25=182,1375
(Если решать по дробям)
1) 169,68 : 5 целых 3/5 = 30 целых 3/10.
2) 30 целых 3/10 - 22 целых 4/5 = 7 целых 1/2.
3) 7 целых 1/2 * 9 целых 1/2 = 71 целая 1/4.
4) 71 целая 1/4 + 9,7 = 80 целых 19/20.
5) 80 целых 19/20 * 2,25 = 182 целые 11/80
Аноним:
Что то большие цифры...
Вас заинтересует
2 года назад
2 года назад
2 года назад
2 года назад
7 лет назад
7 лет назад
9 лет назад
9 лет назад