• Предмет: Математика
  • Автор: anastasi6565
  • Вопрос задан 2 года назад

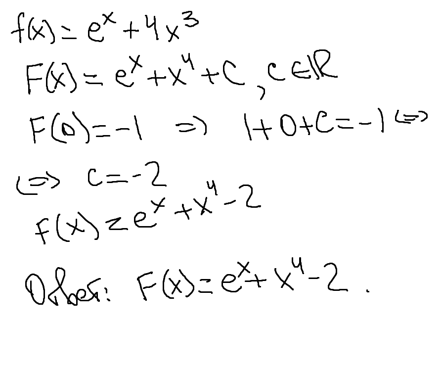
Найдите первообразную f(x)=e^x+4*x^3, если известно,что F(0)= -1

Ответы

Ответ дал: Zluka98
1
Решение в прикрепленном. 
Ответ: F(x) = e^x + x^4 - 2
Приложения:

anastasi6565: Спасибо огромное)))
Вас заинтересует