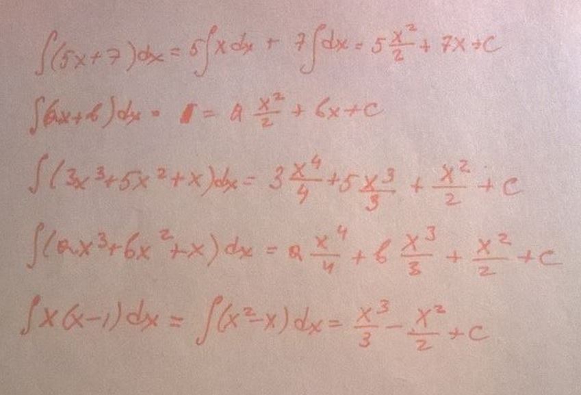
1)интеграл (5x+7)dx
2)интеграл (ax+b) dx
3)интеграл(3x³+5x²+x)dx
4)интеграл(ax³+bx²+x)dx
5)интеграл x (x-1)dx
Ответы
Ответ дал:
0
////////////////////////////////////////////////////////////////////////////////////////////////////
Приложения:

Вас заинтересует
2 года назад
2 года назад
2 года назад
7 лет назад
7 лет назад
9 лет назад
9 лет назад