Ответы
Ответ дал:
6
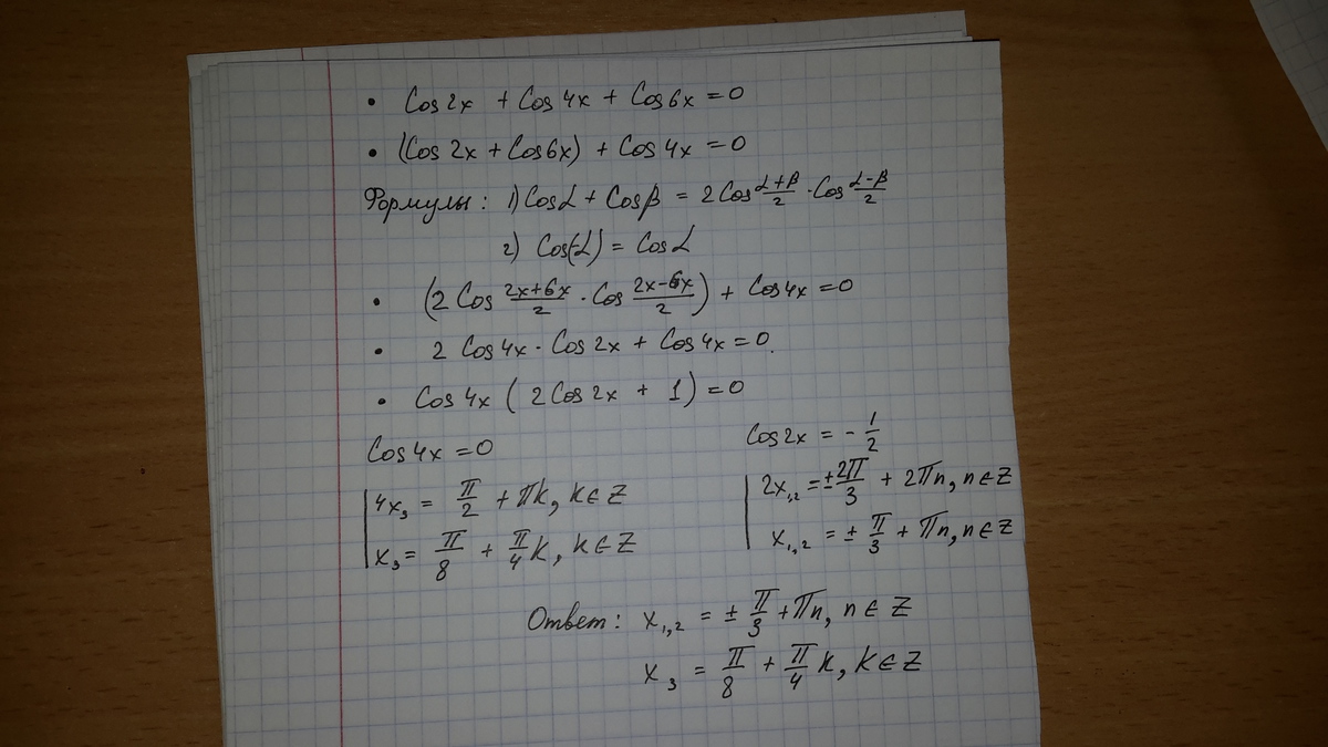
Сos 2x + Cos 4x + Cos 6x = 0
2 Cos 4x Cos 2x + Cos 4x = 0
Cos 4x ( 2Cos 2x + 1) = 0
Cos 4x = 0 или 2Cos 2x +1 = 0
4x = π/2 + πk,k∈Z 2Cos 2x = -1
x = π/8 + πk/4, k∈Z Cos 2x = -1/2
2x = +-arcCos(-1/2) + 2πn , n∈Z
2x = +-2π/3 + 2πn, n∈Z
x = +- π/3 + π n, n ∈Z
2 Cos 4x Cos 2x + Cos 4x = 0
Cos 4x ( 2Cos 2x + 1) = 0
Cos 4x = 0 или 2Cos 2x +1 = 0
4x = π/2 + πk,k∈Z 2Cos 2x = -1
x = π/8 + πk/4, k∈Z Cos 2x = -1/2
2x = +-arcCos(-1/2) + 2πn , n∈Z
2x = +-2π/3 + 2πn, n∈Z
x = +- π/3 + π n, n ∈Z
Ответ дал:
6
Человеку свойственно ошибаться, так что не судите строго, если найдёте недочёты в моём ответе.
Приложения:

Вас заинтересует
2 года назад
2 года назад
2 года назад
2 года назад
7 лет назад