Ответы
Ответ дал:
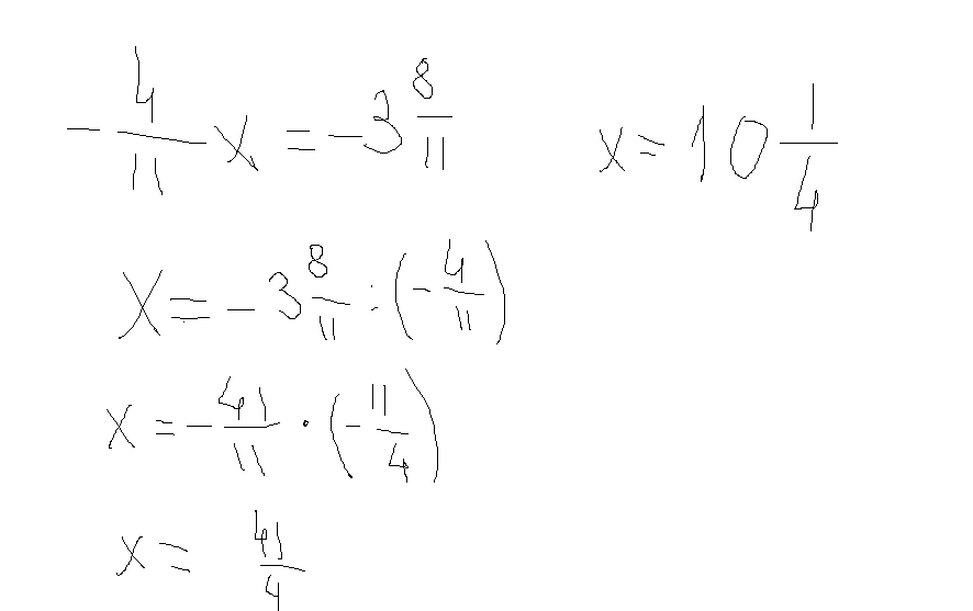
1
Так как внешний угол С равен 100, значит и сумма углов А и В равна 100 (теорема о внешнем угле треугольника), а так как треугольник АВС равносторонний и углы А и В равны, значит каждый из них равен 50 градусов. А так как ВМ - биссектриса, значит угол МВС равен 25 градусов. По той же теореме о внешнем угле треугольника сумма углов МВС и ВМС равна 100, а так как один угол равен 25 градусов, то второй (угол ВМС) равен 100-25 = 75 градусов
Приложения:


Elda98:
нет только в8
Вас заинтересует
2 года назад
2 года назад
2 года назад
7 лет назад
7 лет назад
9 лет назад
9 лет назад