• Предмет: Алгебра
  • Автор: Кимими
  • Вопрос задан 11 лет назад

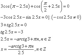
помогите решить уравнение. корень из 3 *COS(pi - 2,5X) + COS*( pi / 2 + 2,5x)=0

Ответы

Ответ дал: Аноним
0
Решение смотрите на фото
Приложения:
Вас заинтересует