• Предмет: Алгебра
  • Автор: talancevv
  • Вопрос задан 10 лет назад

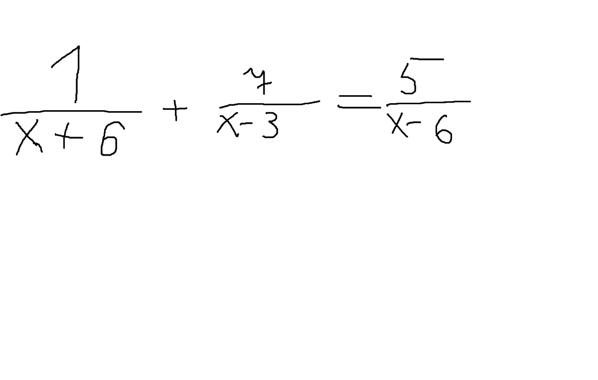
Решите уравнение:
Смотрите рисунок

Приложения:

Ответы

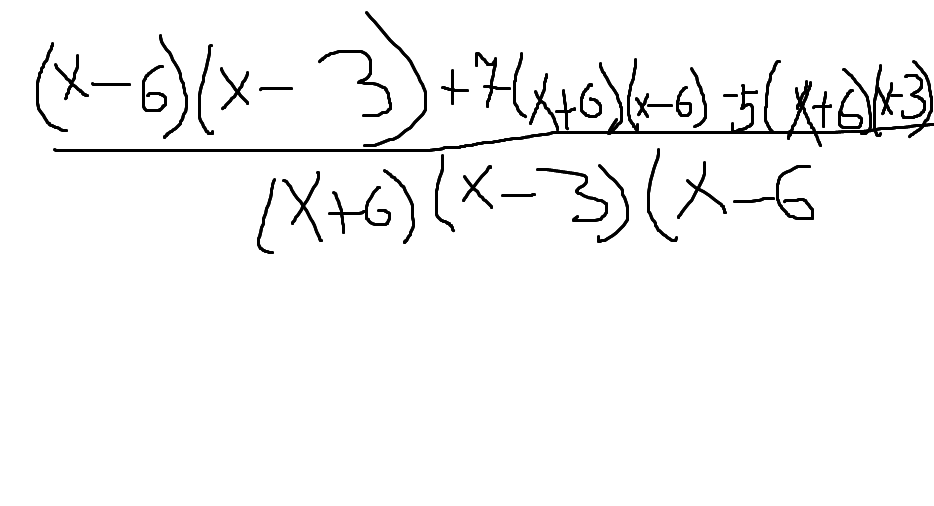
Ответ дал: burmistrova5
0
все к общемы знаменателю. раскрываешь скобки и решаешь методом интервалом
Приложения:
Вас заинтересует