• Предмет: Математика
  • Автор: Maryam20
  • Вопрос задан 3 года назад

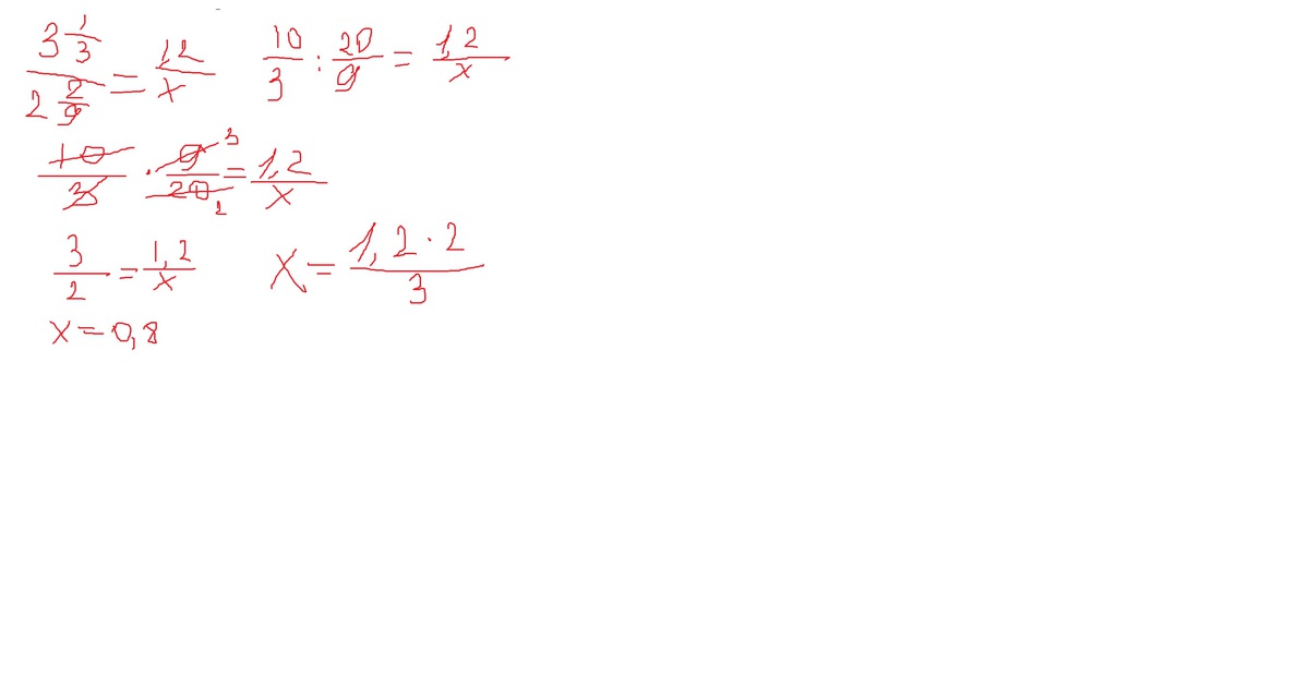
найти неизвестный член пропорции 3 1/3: 2 2/9=1,2:x

Ответы

Ответ дал: 89613269492
1
рисунок сделан в пэинте если чтото не понятно напиши я в коментах напишу
Приложения:

Maryam20: Не правильно!
Maryam20: Я проверила ответ , другой
Maryam20: Ответ 1.8
Maryam20: 1,8
Maryam20: а нет извизини
Maryam20: это правильно
Вас заинтересует