Ответы
Ответ дал:
7
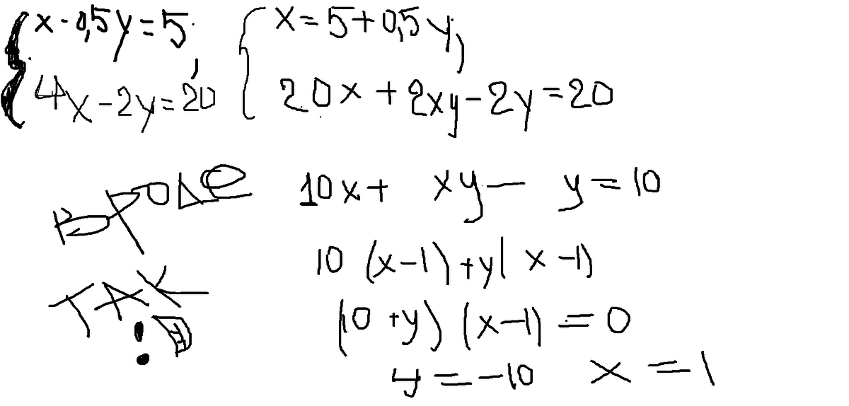
вроде так, ну смысл должен быть такой
Приложения:

Вас заинтересует
2 года назад
2 года назад
2 года назад
7 лет назад
7 лет назад
9 лет назад