• Предмет: Алгебра
  • Автор: angel4081
  • Вопрос задан 3 года назад

Пожалуйста помогите решить

Приложения:

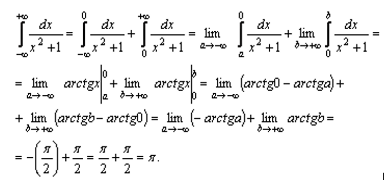
Ответы

Ответ дал: ShirokovP
1
Решение внутри
-----------------------------------
Приложения:
Вас заинтересует