• Предмет: Алгебра
  • Автор: Algebroidka
  • Вопрос задан 3 года назад

Help me. за 200 баллов

Приложения:

Ответы

Ответ дал: Аноним
2
***********************************************
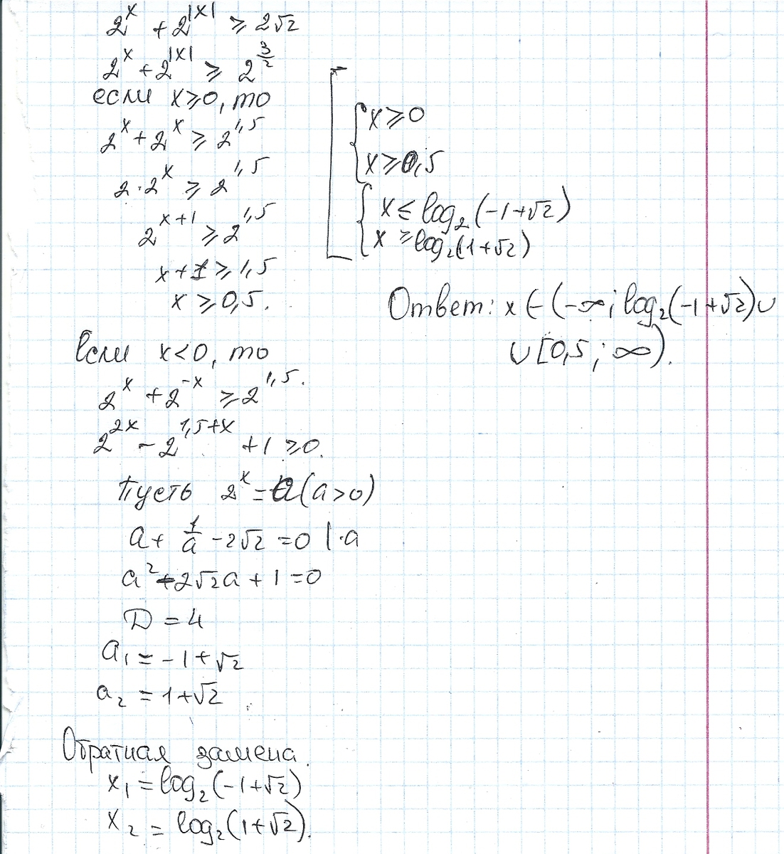
Приложения:
Вас заинтересует