Ответы
                                            Ответ дал: 
                                                                                    
                                        
                                            
                                                
                                                
                                                
                                                    0
                                                
                                            
                                        
                                    
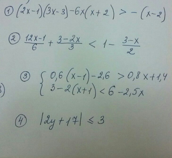
                                        1) (2x-1)(3x-3)-6x(x+2)>-(x-2)
(2x-1)(3x-3)-6x(x+2)+(x+2)>0
Раскрываем скобки:
6x²-6x-3x+3-6x²+12x+x+2>0
6x² и (-6x²) уничтожаются.
Вычисляем -6x-3x+12x=3 и
Остается: 4x+5>0
4x>-5 /4
x=-1,25
Ответ: x=-1,25
2) Общий знаменатель 6:
12x-1+2(3-2x)<6-3(3-x)
12x-1+6+4x<6-9+3x
12x-1+6+4x-6+9+3x<0
18x+8<0
18x<-8
x>-2,25
Вроде верно. Потом проверь ответы у одноклассников.
                                    
                                                (2x-1)(3x-3)-6x(x+2)+(x+2)>0
Раскрываем скобки:
6x²-6x-3x+3-6x²+12x+x+2>0
6x² и (-6x²) уничтожаются.
Вычисляем -6x-3x+12x=3 и
Остается: 4x+5>0
4x>-5 /4
x=-1,25
Ответ: x=-1,25
2) Общий знаменатель 6:
12x-1+2(3-2x)<6-3(3-x)
12x-1+6+4x<6-9+3x
12x-1+6+4x-6+9+3x<0
18x+8<0
18x<-8
x>-2,25
Вроде верно. Потом проверь ответы у одноклассников.
Приложения:
                     
                            Вас заинтересует
                
                        2 года назад
                    
                
                        2 года назад
                    
                
                        2 года назад
                    
                
                        7 лет назад
                    
                
                        7 лет назад
                    
                
                        9 лет назад
                    
                