• Предмет: Математика
  • Автор: evgeshka24051
  • Вопрос задан 3 года назад

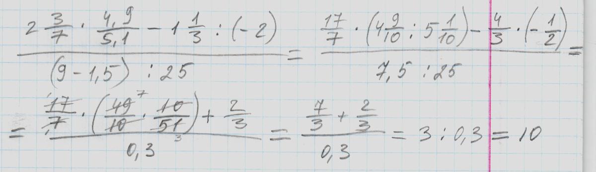
прошу вас по человечески! помогите ... ответ 10

Приложения:

Ответы

Ответ дал: Косинус13
0
...............................................
Приложения:

evgeshka24051: спс
Вас заинтересует