• Предмет: Алгебра
  • Автор: Everybody777
  • Вопрос задан 3 года назад

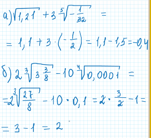
решить 1 номер а) и б), к ответу приложить решение, пожалуйста

Приложения:

Ответы

Ответ дал: zanjabill
1
Решение примеров а и б
Приложения:
Вас заинтересует