• Предмет: Математика
  • Автор: vikavolkova31
  • Вопрос задан 2 года назад

Вычислить неопределенный интеграл :
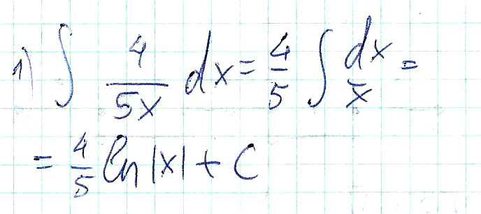
а) Интеграл 4 дробь 5x dx
б) Интеграл 2cos^2 x+2 дробь cos^2x dx

Ответы

Ответ дал: Zhiraffe
1
Решения в файлах, удачи ))
Приложения:
Вас заинтересует