Ответы
Ответ дал:
32
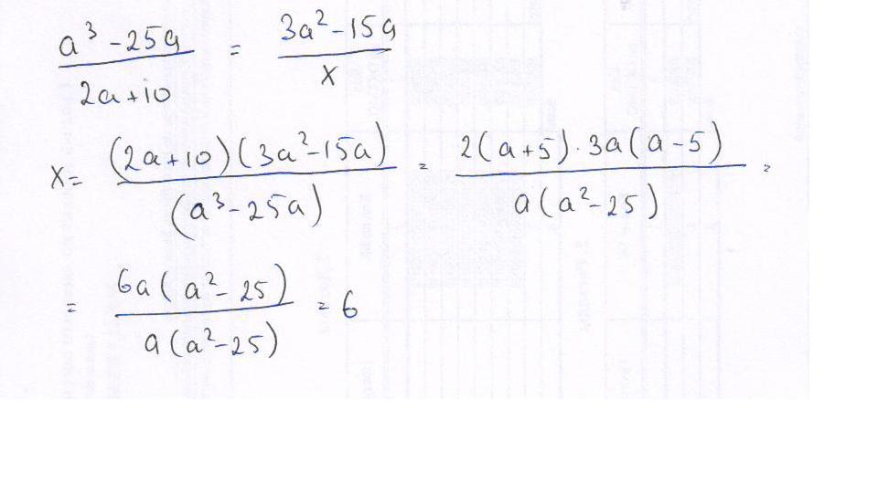
см. вложение
=================
=================
Приложения:

Вас заинтересует
2 года назад
2 года назад
2 года назад
7 лет назад
7 лет назад
8 лет назад