• Предмет: Физика
  • Автор: schennikov99
  • Вопрос задан 3 года назад

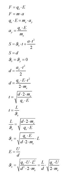
Электрон с некоторой скоростью влетает в плоский конденсатор параллельно пластинам на равном расстоянии от них. К пластинам конденсатора приложено нарряжение 300 В. Расстояние между пластинами d=2 см. Длина конденсатора L=10 см. Какова должна быть предельная скорость, чтобы электрон не вылетел из конденсатора?

Ответы

Ответ дал: Andrusha228
2
Время пролета электрона t = L / v.     (1)За это время электрон сместится на расстояние d / 2 = at2 / 2 = qEt2 / (2m) = qUt2 / (2dm)

Приложения:
Вас заинтересует