ДАЮ 50 баллов. Решите уравнение (2x-7)^2(x-7)=(2x-7)(x-7)^2
BORBOS17:
(2x-7)^2*(x-7)=(2x-7)(x-7)^2?
Ответы
Ответ дал:
1
(2x-7)^2*(x-7)=(2x-7)(x-7)^2
(2x-7)^2*(x-7)/(2x-7)*(x-7)^2
(2x-7)/(x-7)=0 ОДЗ: x не равно 7
2x-7=0
2x=7
x=3.5
Ответ: 3.5
(2x-7)^2*(x-7)/(2x-7)*(x-7)^2
(2x-7)/(x-7)=0 ОДЗ: x не равно 7
2x-7=0
2x=7
x=3.5
Ответ: 3.5
Ответ дал:
1
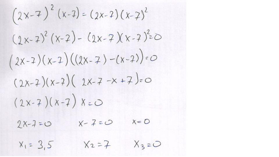
cм. вложение
\\\\\\\\\\\\\\\\\\\\\\\\
\\\\\\\\\\\\\\\\\\\\\\\\
Приложения:
Вас заинтересует
2 года назад
2 года назад
2 года назад
2 года назад
7 лет назад