Ответы
Ответ дал:
1
Решение
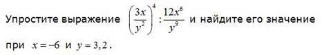
[(81x⁴)/ (y⁸)] : [(12x⁶) / (y⁹)] = (27y)/ (4x²)
при х = - 6, у = 3,2
[27*(3,2)] / (4*36) = 86,4 / 144 = 0,6
[(81x⁴)/ (y⁸)] : [(12x⁶) / (y⁹)] = (27y)/ (4x²)
при х = - 6, у = 3,2
[27*(3,2)] / (4*36) = 86,4 / 144 = 0,6
Вас заинтересует
2 года назад
2 года назад
2 года назад
2 года назад
7 лет назад
9 лет назад