• Предмет: Алгебра
  • Автор: PoinochKa
  • Вопрос задан 11 лет назад

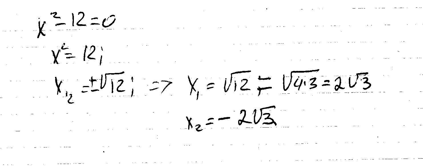
решите уравнение:

х^2-12=0

 

Ответы

Ответ дал: ужнеужели
0
решение в скане.............
Приложения:
Вас заинтересует