• Предмет: Математика
  • Автор: Ксюша1802
  • Вопрос задан 11 лет назад

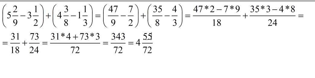
Даны числа: 5 2/9,3 1/2,4 3/8 и 1 1/3.Запишите выражение и вычислите его значение:сумма разности первых двух чисел и разности последних двух чисел.

Ответы

Ответ дал: triolana
0

=======================================================

Приложения:
Ответ дал: momot
0

(5 2/9-3 1/2)+(4 3/8-1 1/3)=(47/9-7/2)+(35/8-4/3)=(94/18-63/18)+(105/24-32/24)=31/18+73/24=124/72+219/72=343/72=4 55/72

Приложения:
Вас заинтересует