• Предмет: Алгебра
  • Автор: KeyGilberd
  • Вопрос задан 3 года назад

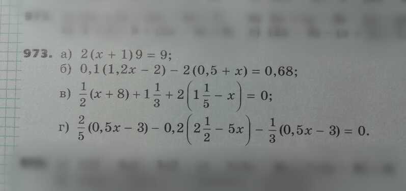
ПОМОГИТЕ С АЛГЕБРОЙ!
ХОТЬ КАКОЙ-НИБУДЬ НОМЕР, С ПОЛНЫМ РЕШЕНИЕМ! ПОЖАЛУЙСТА

Приложения:

Ответы

Ответ дал: sveta2997
1
номер 973. Решение с полным объяснением



Приложения:
Вас заинтересует