• Предмет: Алгебра
  • Автор: Artem27041998
  • Вопрос задан 11 лет назад

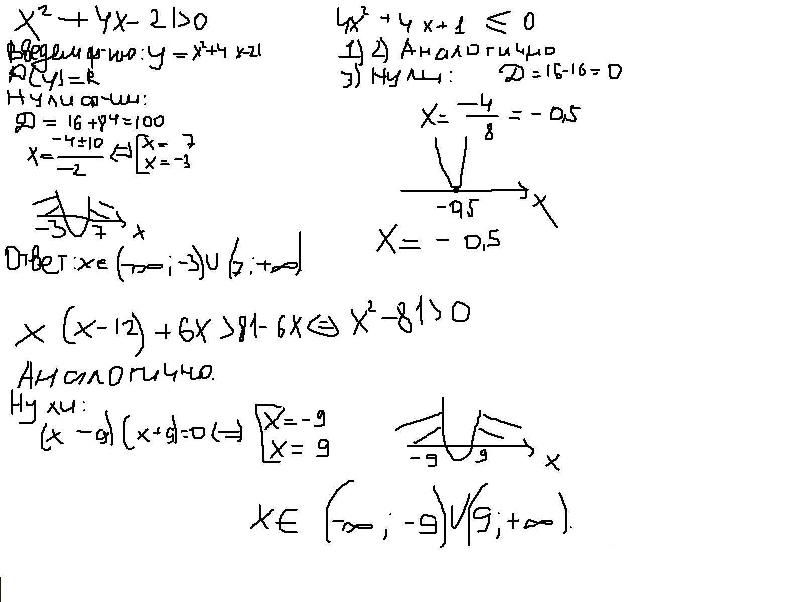
Решите неравенство:

1) х²+4х-21>0;

2) 4x²+4x+1<0;

3) x(x-12)+6x>81-6x

Ответы

Ответ дал: 291979
0

............................

Приложения:
Ответ дал: MashkaVkusnyashka
0

Вот. Правда не уверенна, что второе верно решила.

Приложения:
Вас заинтересует